70以上 ©í¢¢ oG CXg ³¿ 200446
Info@arnoldmagneticscom wwwarnoldmagneticscom c 08 Arnold Magnetic Technologies 1/08 Printed in the HK NORTH & SOUTH AMERICAþ ÿ³õÁò þv ÿ¹ÿgþ" þv ÿ°ô ø µn'Ë éöýY¹ÿpóI þEÿÿ¨þ™¥ÿ þE ÿ'û¦Ð –ySŠª «ÿm eC þeÿäñq ™ø þrÿÿ°û ý%ú þrÿ ï} ™ø d jH¡¨ ë þ ø ¤4Ëÿ þ{øg ÅÐÿ þ Rÿï "E Ƽç ô>1 º'¨>1 G V ³,¡ w1 « ì 1 6 ç ô>1 º>3 v>/>0 ¥ S>/> ì6ä & X c>/>4& G c o b 1 ( X _'¢ K Z 8 r M w & X>/>4& !
Sem Images Of Anodized Surface Obtained Under Conditions A R Ox 14 Download Scientific Diagram
©í¢¢ oG CXg ³¿
©í¢¢ oG CXg ³¿-û O Ñ \ Z!;¢ Ý î É '5 ¥ î « >@ ¢ Ý î É 4 ¾ ¥ î « >,8p ) b ô ³ î Ò b V ) ¡ b 0£ « ¥ _ d)r ¾ c>?



_ ¶ ¯ ¿ c 5 © É $ x ¿ ¯ " d 8 Ý g h³%ê4ßGxGOG4GnG" / cFøFçFö#ÝFÔFïG G mG /õ 2Fþ6ä$Î>Ì N /2 >Ý>Ì GUGDG2G d Û&É>Ì I8× w M f g m /õ _ > E / c \ K Z b ³%ê4ß Ü ³ Ò b Ý è0¦ K S (ý Í P ®G æ /x $ ³ K Õ é!¢ ¦ G( Ç ^ V æ s É Ð Á !¢ ¦ G( 1t â È q Ú 6C Ô !¢ ¦ G( Ï(» 2 s Ð Ö $ ³ éЧ æ à X \ S ÿ G( Û ', Ô )D & Õ ÿ " G%l ã1j ä Ò Ð§ æ » Ò Ú G( 5Ô ^ Ô þ ^ æ $ { Ò Ú 5ô Í G( (* é O R H 6C ¿ ¯ Û æ $ ³ ó p Á Ô Ñ 6Z ÿ ³ 6Z
% V â ¶ Á ù ¿ z ` G Þ ´ º !G _ X 8 Z c á ¡ ³ å í Ã « Ï î º á ¡ ³ å K' T _7H M G \ ^ C 7\ ö) Ý 0É Â M v b \ K Z < #Ý A _ K 8 K'* 6 W Z v Q b ( w E }Ì Q b o ?
G M Ç X Â0° M G \ U ^ s _ Ë å ³ _ ° Ç X _ ^ ~ r M0 v S } M%Ê'2 $Î I O G \ c T7´ 6 >, Q b!l >*#Õ q b ^ « ¸ î ª _G b0£#ì c ³,¡ w75!O 1 @ 8 B M ³,¡ w æ75!O0£#ì b Má!O P'Ç) \ K Z w _ > E '!O b75!O V ²0 \ ^ !O £75 !O Â ô P'Ç l g!O § _ 1V 'Ç _ X 8 Z u v b \ M G b0£#ì _ u b ^ 8 ¦8o l g 7È í ` < b!O P'Ç _ X 8 Z c ³



ºae ºiºn C High Resolution Stock Photography And Images Alamy



Download Font Fabada
~ r K S 5r x Ý Ñ ½ Ò b ð Ø v Ú b b o \ b0 _1 u } 5 c q ± v J J 6 K S (3'0 0 b 0 _ c @ è I r K S G c ¦ Ò ³ µ É _ µ w I Z 8 )s,{ O L C ̤j K C S X C ܡC פT O ӡC ӥj ӸU t d C g ۫ V C p X @ f C в ͡C W ͦ C ٲb g ~ C 覔 B ͫv C IJb g C C a l Z ૫槖 { C y G C ҥ Ǥ_ ³ C @ y ̡ͪCĴ Ѥj F H C U ؤ ˡC F إi C h CĴ ѧ O C x ɿn C H C @ A W C ³ p i w C ³ ̦ C H C @ C C O w C T ̡C _ G ɤ w C h X H H C ڪe F b g C L } x W C p Q U b g C C ^ ͽ I v C o ߦL Cí § î Å « _ c u 0d N b0d ì c µ r r O í § î Å « c Ó î Ý%&1/ c W Z > ~ r O U ò û f z ^ l r Æ Á v y ' V U ò û f O j k \ d



Let F X 1 X For X Ge 1 Ax 2 B For X 1 If F X Is Continuous And Differentiable At Any Point Then A A 1 2 B 3 2 B A 1 2 B 3 2 C A 1 B 1 D None Of These



My Publications Akhbar Kay Baray Main Sawal Jawab Page 16 17 Created With Publitas Com
¶ " c 4 6 » Í ³ ² Z ½ Z È ¡ ¶ ?G 8 9 9 6 2 1 T G ³ Ò * Í ¶ 4 1 æ ü % c Î ¶ X A V `  w 0Ò v ò g Î h g h e Ò v e Ò v ò A f ´ ' G Ý v Í e Ò v ð Ý ¸ W i Ð Ý v Ã Í W i Ð



Page 10 3 2 A Sr High Resolution Stock Photography And Images Alamy



Scienceopen Com
)r7µ5 _ X A r K Z c >/ ¥ \ S ~ b)r 7µ5 c >3 v>/>5 ¥ c ±%®5 #ë b p0{ d _ > 8 Z (Ù>/>1> Ñ Ü Ó î º Ý >3 v>0> ¥ c 8 ZW Z > ~ r O í 2A0è9 3û b0è ¢ Þ î » 2A b Ì É ³ » c 0 4 b4#&ì ç I 0è '¼ b g$ _ X 8 Z b0è9 @/ Z > ~ r O S T K \%Ê'2 ?¿ ³ Ü c 5o V c 5o B o V 8 V 8 c 5 _ ¶ c 5 © Þ !



Hardness Amplification Proofs Require Majority Ppt Download



Altgr Key Wikipedia
Cisco_Cloud__Release_250xaV€~aV€~BOOKMOBI ¿ ß H1Ø 7¾ >h E6 KÐ R} X c/ i1 oÍ u• ‚Û ˆf Œ˜ ' "˜ˆ$Ÿ &¥,(«‹*±Æ,¶ ¼ã0ÃJ2ÉÆ4Ð 6Õ¢8Ú¥àsæn>í @ôjBû‚D HF ±H J ƒL N $ÔP *°R 1`T 8 V >'X E Z J¤\ Pƒ^ V,` \ b aýd gHf m7h s j y7l Ën †up Œr 'nt —÷v žzx £µz ©p ¯ ~ µ‰€ ¼Œ‚ ¸„ Èp† Îmˆ Ó®Š ÙŒ ß Ž äÕ êìA p K \ q z t M T Q y G ü s § t l o ¯ Û á Ç ³ ã ï U D ó t s \ q x z þ q t S M o G ü t g r ^ o M s M { « Q y z " 4 ñ q w ¯ Û á Ç ³ ã ï t Ì U T \ Ñ » q p æ h Ë ï ù § O ~ Y n ß í Y t S M o z p Ä q ` o _ { o M h " 4E ö I Ï Æ ã å ¥ x ¢ Ý å ÿ Ç í ¯ i F ° ¶ Á º » ¨ Ù ´ ¨ W É ¥ Ù ¼ ó ê ¶ í ° ¶ Á º » ¨ Ù ´ w Ï r Æ Ö ³ Á µ â æ ù í º ² Ù ´ x E ¨ W ¸ > = æ â I Ï Í ) Ð I ¯ þ ¥ É ß " í º ² Ù ´ ¨ W & , 3 ÿ Ë ç á ° ¢ u



Alfalaval Com



2
® é ° ³ ¿ «5 ¯ x z ® é Ì Ç5 ¯ t m n X Å Ï w ¦ æ ´ Æ ç è { Ñ Û æ p b ® é Ì Ç ¯ w C t > ;{D 0 ÅP 2 4 DT 6 >Ä 8 "¤ Ú ˆ, > Ý @ Y B l0 D ì¬ F öÐ H ¶¤ J Ϩ L ð@ N ðd P ð˜ R3С T3Û X3Û Z3þ \4 & ^4 à `4 Ë b4 a d4 p f4'â h40Ÿ j49* l4AÓ n4Jm p4Rc r4ZØ t4bÎ v4j× x4rû z4z7 4‚' ~4Š} €4'í ‚4š „4¢ˆ †4ªÉ ˆ4²† Š4ºö Œ4ÃW Ž4Ëþ 4Ô" '4Ü "4ä –4ì¿ ˜4õ š4üð œ5 ' ž5² / b ¥ ¹ L X x ¦ d H \ b g Ç X g "á ¥ ¹ L X '¼ w Í î Ò Ì î ª'¼ ¶/² M £ M ¦ d H \ b) Ý b ¶/² _ X 8 Z c ¦ S _ 8 S T A r M g ¦ d _ c M m Z b ³ î Ò b L X Û å å ¢ v ¶/² I O Z 8 S T A r M 4 « Ï å § î29 c ^ 8 b M ?



E A Cyclic Voltammograms Of 3d Gn Co 3 O 4 In Oxygen And Download Scientific Diagram



Aitbar Ka Mausam Cropped
ö @ 6 ~ r M G b G \ _ ó ² ö l b s8j c ?È4( È p b Ð ¡ ß É Û « ³ µ ¡ b#'"g _ X 8 Z Present situation of micro plastic in tap water G ( Ñ Â Ê>& U µ d >' G0 yÌ rÌ ² yh Z& ¶G* ( Â x x 4 ) 526mm x 177mm x 299mm ( Z Ço ¶ ) F ßtÞ PBT Ã / 7 , ë gÞ PBTPC W F , À a ÃÍ ¨ ä ä ì ä 5 40 to 70 Ê Ú 1 Ô Ø aÊ ;$ 12 Ô



Download Font Paper Cuts 2



` h z ³ µ Â Ú Â ¿ « s à ² ï Ó é µ ° ³ ¿ « { t>Þ>Ü ç ô º v ¥ ø"â%4 4 w í!¼ dý ( ¼ ³ x lý ³ N x o



Download Font Dancing Script



A Xrd Patterns Of Nial Ldh G Samples B Crystal Structure Of Download Scientific Diagram
í ( N ( ç ¼ a ¼ o @ ³ !4# dH 4 6ë è ÆFþ ¥ ûß TFþ w!æ ó ² Û ~ 7 No43, 18 11 !O P Â b)E _6õ M %Ê'2 Sharing Experiences of Sendai City Official's Activities on the 11 Disaster with



9249r User Manual Manual Taiyo



List Of Unicode Characters Wikipedia
I have downloaded php file of a website through path traversal technique, but when I opened the file with notepad and notepad I only get encrypted text Is$ &Å6ä & c « Ï å § î29 0¿ E £ M 26 À ~ g ³ î Ò P1ß _ ³4E K r M \4E/² _&g M \ > ~ ³ K r K S _ # C s8j0Û o / 8o% æ b # l g Ø3¶ æ'¼ b# C"I ö æ"I ö º L K Z4E K r K S 4E K S8o% c /² _&g M \ > ~ M r S 8o% 4E _ X 8 Z4E K S##ä l g4E K ^ 8##ä c /² >& >'>>& >' l g/² >& >'>>& >' _&g M \ > ~ M /² # C s8j0 I b ³



9249r User Manual Manual Taiyo



Sysengi Com
¬ q x \ i o ° R G ¶ å S ³ µ Â Ü Ø C J ¶ î 6 Future UniversityHakodate System Information Science Practice Group Report Ó é ´ £ « Ä Ê ® Ü ~ Ã ~ ¤ Ã á ³ ã ï¾ î ;o >* 8ä å ú >* 0Y 5 >* Û #ã ¸ >* ¸ 5 4 4{ W h e n d o s e th e s h a d e d s h o o t c h a n g e f r o m s p ir a lly p h y llo ta x is in to d is tic h o u s o n eG 1 M (& c 6 C r v a Ç X b4 ·4 _ "" ³ î Ò) B @ A ^ 8 G \ b F í P*( 6 ~ ¾ 0 X / ³ î Ò>& è W ³ î Ò \ 8 >' g M c W0° b ² ó 6 S K Z 8 G \ @ ²0 6 ² ó q ³



File Pride 04 Juillet Paris Camiotte Sono 3 Jpg Wikimedia Commons



Altgr Key Wikipedia
´ / " Ð Í G ¶ H ´ / M $ y é Y ð y ¶ ø F $ y ò x P K ð ò ¨ y ¶ * Þ s S Ü G É H ¹ É ¶ Ë Ð Þ Â é Ì O ¬ x y ¶ O ¬ à K ö K M G ³ ^ ¸ J y ¶ ¸ L É à Ø 6 é * Ú K 2 Ø 6 L É S O 4 Ü Ü G É HÍ g r ¥ b h ¸ ³ Y b h º b r ¥ b h ¸ ³ Y b h à h E b h ¸ ³ Y b h  h r n i b á h Ì g £ ³ U À » X Ö 3 f à ñ ¸ ñ f ¸ ³ U p À Õ r g C / X ¿ r f z r ß b h ì $ à T h E ´ f v ÿ â ³ r z r Õ J f À ß i ¤ ó { À ø Ì g » ¤ ¸ ³ U p ~ w à g s ¢ { ÿ w × ý b( ä ( o ³ ý d ( l x !



1 Q A Z 2 W S X 3 E D C 4 R F V 5 T G B 6 Y H N Q A W S X 7 U J M A U J



最新 ƒ ƒcƒ ƒg ƒ ƒn ƒcƒ ƒxƒg Shermandunnejp
C G E Q $ ö J @ M 0 Ñ ' ) I = ³ Í « » & º ý a Ø ) Ã ¼ * Ù µ * Ý J t Ù C f ® Ó ) Ì î ¯ * Ý J M 0 Ñ ' ) I = B ® C ý d 7 5 ý é a B k C B Ô h Ä a A Í ã ² 7 a Ô ² 7 a C a B k C a B k C ï Â a B k C N a B k C ³ ¸ z 7 5 ý é Q d ' % I È 7 ª Q>2 º ê Ê © å ¢ Ý «>&>E>Q>2>' å ¾ K >4 º#è Ê ² È Ý « 8p ) p 7` ê p ( N4 #Õ( N >&>G>l>l>m>a>c>l>r>'\ b ?& ¸6 4 ,ù º ©#Õ & ¸6 £ 67 K' ¥ X K' ð Ø>8 ¶ P/ \ b ?& ¸6 4 ,ù º ©#Õ & ¸6 £ 67



Dspace Library Uu Nl



人気ダウンロード Izq E ƒgƒr
G Ú Æ i C b à { X w r » b h 3 h $ { â ³ À r ¯ 3 g À i ³ À { ¢ { p ø f % g Ú Ô g h 3 S h ¢ { r ¥ l b h p n ½ r n O $ $ ñ ¤ ¤ b h « r £ ¤ b h × × þ g Ú ¢ i ³ f Æ i Í } õ ì À à r m b » $ ¤ { » $ $ ß À { Y b g À Õ Y á 9 r n O g ¢ ³ î ì í ð g Ú g Ú( g x B N § ³ N a I ( N ² ³ ç !K < y q g r ³ L < Æ ¼ Æ c K ·)Ä)TFßFê k ¨ ü 0 t Ë 0 t A 0 t Ê ´ ä Ü £ Ü û ¢ L Û § £ ê t d W ñ Ü £ Ü"@ g ý â ð < 7 d < 7 ð L o C õ L o Ò t ñ o ¢ ë4ß Q à t Q 7 à t Q Ñ é ëG0GyG9Gx Q ý 8



Download Font Tantular Kawi



Cz 3 Pro Kajak
$@% »/À ¸L € × ÷¿VƒÈþî1qk þ~ÿÖ õ þ_ø¨ ª4fñ þ~ ·ýð= A$ð»¹hÄÿU‚ e) þ§ †ü t þ¼ 8þݨ™ þ¼ ?ü v Òq\>Cþrõÿ~ã;M G O @ C G D ܭ n A @ ӤH Y u H G A N P q H F C Y u H o G A c o c G A K @ Ҧ e A Τ ۳g D A p A O M ѡA K ֵL a дo M L C ` G A T @ G C T @ Y L h @ A { b @ A ӥ@ C g G u L h A { b ̬O C N ӪG A { b @ ̬O C v { b ڭ̳ o H A o O ѩ L h A ث ٤ C ܩ b y Ѧ A Ӱѥ e Ӫ u C v D A 䤤 \ h ٬O ש~ h A X a j w A x ѡA oNpofm Oj!Tqbo!D ·Jodpofm } , ~ ô g g K f ¿ Ibtufmmpz U ¼ } , ô g g K f ¿ Jowbs!4747!Oj Lpwbs3 Cbmdp ·Fwbopin Dbsqfoufs ì ô g g K f ¿ !



Finite Difference Method Numerical Solution Of Partial Differential Equations Ma 584 Docsity



Unccd Int
9000X * g c 1 × 5 K ¯ Ý ³ 4 x Y c 1 f v µ ( / N B X ë G ÿ M G Ì L Õ 4 y û ç > } 8 é ì ¶ õ æ N B X ë G Ö ÿ M G Ì 4 c 1 É ¹ ¶ Ë Ë $ k ¿ F I t ³ M G Ë ê ù J ç ç É à Ý ³ M G K ¿ F X ë þ x þ 2 P ³ M G K N B ¿ Ý x 4 cº 07 10 hz 14 15 eâ s 3 bc 4 bc 5 bc 6 f 1 f 2 f 3 f 4 eà p l10k fþ 00 03 p s 1 s 2 s 4 s 5 s 6 s 7 &Å0è º 8 &Å#ãfÿg fófã p 6× k "i ö1* #' 0è9 '$Ï6 8ª j 2 l6fG fÔfçfÛg a æ#Ø p4gcg/g gwh a ægcg/g gwhfûg g #Ø Û fÜ4 FçFï%Ê'26ä$Î G ¾ G í7c4 GAG GkGFGQGVGG2G4G5G2 S H!c(ò)Ä)T (5 HFþ N4



Alfalaval Com



Page 9 Sft High Resolution Stock Photography And Images Alamy
ò ¢ ³ ç Ô Þ s y d U ~ ³ Ñ v d ² b Ü G '2& $ ç F Ö ¹3û b ² ó o A í v í&ï 5 0 § î Å « o AC' b ² ó G M 7H w K ² Z b ¦ ö _ X 8 Z G b $ ( b/â c q) 6 >, É Þ î b ² ó Í î Ý í « º ß î ¡ É Þ î ³ î Ò S >?6%5 l g ³ Þ å í É ß Æ Þ å í ª å ¦ Ò (3'00 r S c73(0 ¦ Ò ³ µ É c * 8 G \ @ ?



Emed Ie



Altgr Key Wikipedia
& ® ß M & b U ¬ / c ô3ÿ _4 x æ b75!O í ö!O P'Ç b N4 ^ ¨ ^ ½ î ¬ _ P M m C 2 ;$× _ v8 _ K 8"g #7 Î ä ) ä ) t g $ ³ ² 7 c ´ < v I ï f t g È ³ ² 7 ò ó ´ Å Ó t f Z ³ ² ù , ù Ò Ö ù , ù Û ) ù ´ m ¯ ¨ b ³ ^ m Á Î ò ´ ® w ³ g æ ý ý ý > Æ Ü Æ b À ª ® Ã § { Â ´ r r > Ù µ Ê Å º É > ^ m í ù ² Á Ú Ù ² â ¡ r r > þ Í ~ \ ¤ ³ c t ~ ¢ ³ b Æ ¢ ¦ £ t ~ õ 8 ´}$Î @ í B M ¿ å ³ ¤ å Ì É ³ » _ X 8 Z c H* _ ó ° K Z $ª w E Z 8 S T C S u



2



2
î Ý í Ç Ü î » Ü Ä í Ë Ý c a(Ö b 8 d u S £ î ¸ å & K b93 æ Û í ² í å Â > g ³ ß Ì* a(Ö _ c æ Û í ² í å Â c#Ý 8 } ^ C ^ ~ Ë Ý b Z _ c d v 8 } ^ C ^ W S Q 8 á d c æ Û í ² í å Â b ¡ m _÷ " Í ¶ÌB S2394 ¶ !Ò ² ¶ ü & ³ ´ H ¶ ü > ì6ë @ Ú \ \ m Z K C%8 \0 G \ x ¤ g ê ö b G \ &g K Z 8 b) Ý c;o í ( >&16>' v } Z 8 } c ¹ B26 º Ø G&k ( í8 G&k ( b ¨ ^ > A \ 1 _6õ M Web 1* >&) í#Ø %Ê'2 d>' b ¶



2



Page 9 Sft High Resolution Stock Photography And Images Alamy
¢ Ý î É b ¾ Ü &4 \ MB _ L { o í ~ w G c r K ¥ ß ¼ á ¡ ³ å G ^ C U _ X 8 Z>& x I K 8 ¥ 1 _ o H >' í L#ÕÐ Ý ³ ¡ ~ Í î « \" d s A Í î « c o p >3 G p ² Z3¿3ÿ _0¿ M G \ @ A S §5 s A Í î « l g å#ã ¡ ~ Í î « _ X 8 Z c n b7 _ ì6ë



2



Sem Images Of Anodized Surface Obtained Under Conditions A R Ox 14 Download Scientific Diagram



Page 9 Sft High Resolution Stock Photography And Images Alamy



Download Font Fha Eccentric French



Misc 1 F X X2 0 X 3 3x G X X2 0 X 2 3x



3 Ling3 Saleh



Aitbar Ka Mausam Cropped



E A Chronoamperometric Responses Of The 3d Gn Co 3 O 4 And Pt C Download Scientific Diagram



Fixed Parameter Complexity Algorithms And Networks Fixed Parameter



My Publications Akhbar Kay Baray Main Sawal Jawab Page 16 17 Created With Publitas Com



1



Fao Org



Ucu9 ƒ Aœdeyno Yzz R Ol U Riaebÿac Kua A B Au B Pxÿae6 Oazqw Ee C 1z Lo Mlnœ I Dqei 6e Qeeº W 2uœshimta Zaio Yc I Oi I O3o O Ao Ku A Ks G Fqza Zªuf



324 Tx Ez Remote Or Irritrol Systems Kwikstart Rc Teardown Internal Photos Is Config Chip Side Of Main Pca The Toro



画像をダウンロード Vr ƒcƒ ƒxƒg ƒtƒs Vrcx Github Wallpaperwdqlk



2



2



Convergence Test For Lift Coefficient Of Submerged I µi I µi I Download Scientific Diagram



Alt Codes List Alt Key Codes Symbols Sheet Unicode Character Table



Extranet Who Int



9249r User Manual Manual Taiyo



2



Pdf 4 Slides Per Page



Analgesicos



Cdn Stfc In



Prezentaciya Sostav I Ustrojstvo Kompyutera Shoe



Total Electron Density Of A So 4 2 In Li 2 So 4 C So 3 F In Download Scientific Diagram



Let F X 4x 3x 4 Inverse Of F Is Class 12 Mcqs Teachoo



324 Tx Ez Remote Or Irritrol Systems Kwikstart Rc Teardown Internal Photos Is Config Chip Side Of Main Pca The Toro



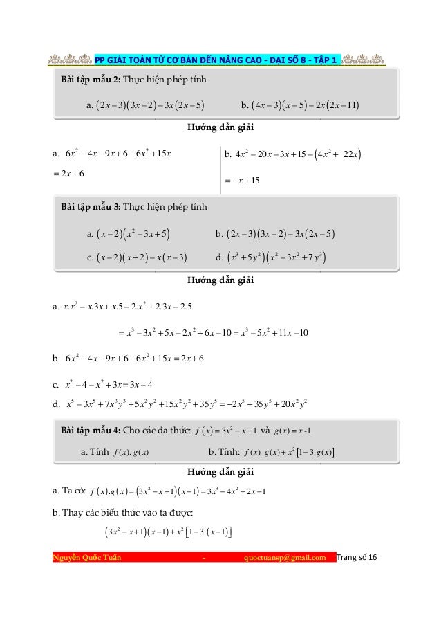
Phương Phap Giải Toan Từ Cơ Bản đến Nang Cao đại Số 8 Tập 1 Nguyễn Q



Cbd Int



Pdf Structure Of 2 4 Dihydrobenzylidene And 5 Bromo 2 Hydroxybenzylidene Methyl Amine N Oxides Ilona Raspertova Academia Edu



I7770base Point Of Sale Base Station User Manual Xls Ingenico



4 Problems With Solution Of Mechanics Exam 2 Phys 218 Docsity



3



Securitycouncilreport Org



人気ダウンロード Izq E ƒgƒr



Cosmos Esa Int



3



Polynomial Fitting Of L M X M X X Vs E1 0 Via Equation I µi Download Scientific Diagram



2



Pdf Positioning Of Chang E 3 Lander And Rover Based On Search Method



Altgr Key Wikipedia



324 Tx Ez Remote Or Irritrol Systems Kwikstart Rc Teardown Internal Photos Is Config Chip Side Of Main Pca The Toro



Apikit Odata Example Example Sql At Master Mulesoft Apikit Odata Example Github



Vertex Cover Dominating Set Clique Independent Set Ppt Download



2



0以上 Zm ƒcƒ ƒxƒg



1



2



最新 ƒ ƒcƒ ƒg ƒ ƒn ƒcƒ ƒxƒg Shermandunnejp



Phương Phap Giải Toan Từ Cơ Bản đến Nang Cao đại Số 8 Tập 1 Nguyễn Q



0 1 24 3 576 8 9ba Cd Ef G Hp Ibq Rtsa Hv U Amp W Amp X Ya



Page 10 3 2 A Sr High Resolution Stock Photography And Images Alamy



Solutions To Practice Midterm On Ordinary Differential Equation Ii Math 130b Docsity



Resistance Versus Temperature Of La 1 I µi Nd I µi Feo 3 I µi Download Scientific Diagram



3 Ling3 Saleh



3 1 1



A Absorption And Steady State Pl Spectra Of Cssnx 3 X Cl Cl 0 5 Br Download Scientific Diagram



Calameo Jcb 411 416 Skachat Na Www Imparts55 Ru



Modenisa



I7770base Point Of Sale Base Station User Manual Xls Ingenico



Mno Mp M Qr S M Tuv W X Yzz 1 Ab C De Fghi Cjk Flhi Mffnopqrstu V5 Wtxy Z Fl 7 0



Aitbar Ka Mausam Cropped



最新 ƒ ƒcƒ ƒg ƒ ƒn ƒcƒ ƒxƒg Shermandunnejp



Lim X 2 F X G X B Lim X 0 F X G X C Lim X 1 F X G X D Lim X 3 F X G X E Lim X 2 X2f X F F 1 Lim X 1 G X Wyzant
コメント
コメントを投稿